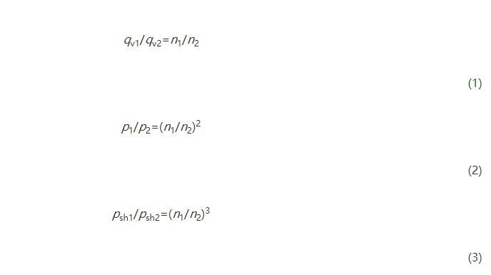
根據相似定律,在相似工況條件下多級離心国产麻豆精品成人毛片的轉速由n1變為n2時,国产麻豆精品成人毛片流量、全壓、軸功率均發生變化,變化前後各性能參數與轉速的關係如下:
式中 qv1、p1、psh1——多級離心国产麻豆精品成人毛片在n1轉速時的流量、全壓、軸功率;qv2、p2、psh2——多級離心国产麻豆精品成人毛片在n2轉速時的流量、全壓、軸功率。
由式(1)~式(3)可知,在相似工況條件下,多級離心国产麻豆精品成人毛片的轉速與流量成正比,與全壓成平方比,與軸功率成立方比,而效率保持不變。因此,離心国产麻豆精品成人毛片可一直在高效率下運行。
當管路靜能頭為零(即管路特性曲線是通過原點的二次拋物線)時,在管路不變的條件下改變国产麻豆精品成人毛片轉速所得到的工況都是相似工況。但在實際的国产麻豆精品成人毛片係統中,管路靜能頭並不一定等於零,此時變速運行的工作點不是相似工況點,對比多級離心国产麻豆精品成人毛片變速前後的性能參數時不能直接使用相似定律。這時可先求出變速調節各工作點在額定轉速、導流器全開時的相似工況點,再使用相似定律進行計算分析。
上述內容便是離心国产麻豆精品成人毛片廠家為大家介紹的多級離心国产麻豆精品成人毛片的變速調節原理,大家在進行相關設計時可以當做參考,適當應用。
版權聲明:文章來源於www.piaocool.com/index.php?c=show&id=456,轉載請注明出處!